6.1. Граф
Перед тем, как мы перейдём к разговору о деревьях, давайте узнаем о структуре, на которой они строятся — графе.
Граф — это структура данных, которая позволяет нам связывать данные между собой. Например, графами можно смоделировать связи людей в социальных сетях. Так если у нас есть два пользователя, Саша и Таня, и они находятся в друзьях друг у друга, то можно визуализировать их связь вот таким графом:

Простой граф друзей
Здесь есть два объекта и одна связь. Собственно, это и есть единственные составляющие графа.
Такие объекты ещё называют «нодами» (англ. node), «вершинами» или реже — «узлами». А связь зазывают «ребром» (англ. edge).
Свойства графов
Ориентированность
Если мы уйдем от социальных сетей, в которых можно быть друзьями только по обоюдному согласию, в сторону тех, в которых используется система подписок, то наш простенький граф из примера выше перестанет работать. Глядя на него, мы не сможем понять: только Саша подписана на Таню, Таня на Сашу или у них взаимная подписка. Чтобы он снова стал репрезентативным, введём направление у связей:

Чуть более сложный граф подписчиков
Такой граф называется ориентированным или направленным.
Цикличность
Тут всё просто: если мы можем из одной точки графа попасть в неё же через несколько перемещений, то этот граф называется циклическим графом. В примере выше мы не сможем найти цикл, из какой бы вершины мы ни начали путь. Дорисуем одну связь, чтобы появился цикл:

Циклический граф
В этом графе у нас есть цикл длиной 4: Миша-Олег-Таня-Саша.
Циклы также могут быть длиной 0, если есть ребро, которым нода связана сама с собой. Обычно такие циклы называют петлями.
Связность и полнота
Граф связный, если из любой вершины есть путь в любую другую вершину, и полный, если между каждыми нодами есть путь, состоящий из всего одного ребра.
Взвешенность
Каждому ребру графа можно тоже можно присвоить какую-то информацию. Например, если у нас имеется граф с точками на карте и нам нужно сохранить информацию о расстоянии между ними, то мы можем написать её рядом с каждым ребром. Графы, у которых рёбра имеют подобным образом хранимую информацию, называют взвешенными.
Представление в коде
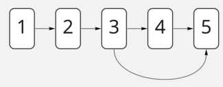
Часто можно встретить графы, представляющие собой объект, в котором описаны все вершины одним списком и рёбра в формате массива пар вида [нодаНачала, нодаКонца]. Например, этот граф:

Можно представить в коде примерно таким образом:
const graph = {
nodes: [1, 2, 3, 4, 5],
edges: [
[1, 2],
[2, 3],
[3, 4],
[3, 5],
[4, 5],
]
};
С этим довольно просто работать: добавление, поиск и удаление из него сведётся к уже привычным операциям над массивами.
Однако так уж повелось, что в вебе чаще всего при работе с графами (поиске по ним, обновлении, поиске циклов) мы работаем с сущностями по типу нод уже знакомых нам связных списков:
const node = {
value: 'some info',
neighbours: [otherNode, anotherNode],
}